La Historia de tu Vida…. La Llegada….

La Historia de tu Vida…. La Llegada….

O como ** los extraterrestres están muy interesados ** en la percepción, la consciencia y, sobre todo, en la comunicación… «La Llegada» o “La Historia de tu Vida”, es una película (o cuento) que va más allá de ser un thriller de marcianos (en la película son los Heptápodos)… La película nos hace reflexionar sobre la condición humana , y permite seguir pensando en que al observar una obra de arte no basta tener mucho de eso que llamamos “sensibilidad”, sino que el conocimiento que tengamos nos hace ver mucho más… en fin, que el conocimiento no estorba. En la película resaltan dos cosas:

  1. La interpretación de Amy Adams como la “Dra. Louise Banks”. via GIPHY Ella es la protagonista absoluta de una temática que gira en torno a la «historia de su vida» y que la muestra como una mujer heroína, independiente, valiente y capaz de tomar sus propias decisiones aun sabiendo las consecuencias. En efecto, la película es el drama de una mujer que por circunstancias extraordinarias llega a conocer su vida , toda su vida de principio a fin, mientras aún la está viviendo .
  2. Y, por otra parte, (y mucho más en el cuento que en la Peli) a la Lingüística, que parte de una hipótesis muy interesante.
    Lingüística
    En efecto, la teoría de comunicación en la que se basa el fenómeno que vemos en la película se conoce como relatividad lingüística o h ipótesis Sapir-Whorf . Según ésta existe una cierta relación entre las categorías gramaticales del lenguaje que una persona habla y la forma en que la persona entiende y conceptualiza el mundo. Es decir, pensamos con palabras , y por eso no piensa igual un chino que un angloparlante que alguien que habla en francés, nuestro lenguaje conforma nuestra forma de pensar y, por ello, la inmersión  en un entorno de otro idioma reconfigurará nuestra estructura mental, es decir, la inmersión en un lenguaje reconfigura en cierta medida la visión que tenemos del mundo y de la realidad. … Ya con sólo esa premisa tienes para reflexionar… pero, eso es apenas el comienzo. Según palabras de Ted Chiang , su autor
    Ted Chiang
    Este relato nació de su interés en los principios variacionales de la física… “He encontrado fascinantes estos principios desde que supe de ellos por vez primera, pero no sabía cómo usarlos. Se me ocurrió que podría usar principios variacionales para contar una historia sobre la respuesta de una persona ante lo inevitable ”…. Y agrega: “Para los que estén interesados en la física, debo decir que la discusión que tiene lugar en el relato sobre el Principio de Tiempo Mínimo de Fermat omite toda mención a sus bases de mecánica cuántica. La formulación de mecánica cuántica es interesante a su manera, pero preferí las posibilidades metafóricas de la versión clásica”. Ahora bien, el cuento y la peli difieren. En efecto,  el relato hace mucho hincapié en los aspectos puramente lingüísticos del “contacto”, por ejemplo, en el cuento nunca llegan a saber por qué se fueron los heptápodos, de la misma forma que no saben qué los había traído hasta la Tierra. En la peli eso lo justifican por una extraña necesidad que tendrían los heptápodos, unos años después, de que los terrícolas manejaran su idioma.

El lenguaje como núcleo de la inteligencia y de la percepción del tiempo.

Pero vayamos por parte…todo comienza con una grabación. Una grabación que le deja claro a la doctora Louise Banks, reconocida Lingüista, que los heptápodos tienen gran diferencia anatómica con los humanos, que su aparato vocal es esencialmente diferente, al parecer no usarían  la laringe para producir esos sonidos grabados, además, y quizás, de otros sonidos que el oído humano no puede captar. Ante esta dificultad, la doctora Banks trata de utilizar, también, la escritura, trabajando así  sobre lo básico: fonémica y grafémica, vocabulario y sintaxis, para intentar comunicarse, pensando que más fácil identificar grafemas que fonemas. Pero nuestra protagonista se consigue con algo que no parecía ser una escritura en absoluto; parecía más a un puñado de diseños gráficos complicados. Unos logogramas que no estaban dispuestos en hileras, ni espirales, ni de ninguna forma lineal. Los heptápodos usaban ** un sistema no lineal de ortografía** que, al parecer, era una auténtica escritura. via GIPHY Es ahí cuando descubre que su escritura parecía ser un sistema de escritura semasiográfica, ya que transmite un significado sin referirse al habla. (Por ejemplo, si dibujas un círculo con una línea diagonal que lo corta en dos, quiere decir «Prohibido» pero si escribes la palabra «Prohibido» también dirías lo mismo, pero sólo ésta es una representación del habla, por ello los lingüistas describen este tipo de escritura (es decir, la palabra escrita) como « glotográfico », porque representa el habla. Por el contrario el símbolo –el círculo con la línea diagonal– es escritura « semasiográfica »).

señal prohibido
Una escritura de símbolos, es mucho más compleja. Tiene su propio sistema de reglas para construir frases, una especie de sintaxis visual que no guarda relación con la sintaxis del lenguaje hablado . Su lenguaje escrito, no está dividida en palabras, por ello el término «logograma» no era adecuado porque sugería que cada gráfico representaba una palabra hablada, cuando de hecho los gráficos no se correspondían con nuestra idea de palabras habladas en absoluto, por ello la doctora usó el término « semagrama ».
semagrama
Ella descubrió que el lenguaje no tenía puntuación escrita: su sintaxis estaba indicada por ** la forma en que se combinaban** los semagramas, y no había necesidad de marcar la cadencia del habla. Ciertamente, no había forma de distinguir claramente parejas de sujeto y predicado para formar frases. La escritura parecía una sucesión de caprichosas mantis religiosas dibujadas en cursiva, cada una aferrada a la siguiente. Eran grafemas no segmentados; no podían ser aislados del resto del semagrama. En efecto, una frase se escribe uniendo los logogramas de las palabras componentes . Unen los logogramas rotándolos y modificándolos, por ejemplo, los sustantivos se identifican como sujeto u objeto basándose en la orientación de su logograma en relación con la del verbo. Cambiar la curva de esos trazos no guarda paralelismo con su habla; Es esencialmente una gramática en dos dimensiones, es un lenguaje gráfico completo y de propósito general completamente diferente de su habla. Con su escritura, por otra parte, todas las marcas sobre una página eran visibles simultáneamente . Una hoja impresa es demasiado torpe y estática para este idioma; el único medio apropiado sería el video o los holos, exhibiendo una imagen gráfica que mutase con el tiempo. No se transcribiría como palabras alineadas linealmente, sino como un ideograma gigante, que debe asimilarse en conjunto, donde sólo el contexto podría determinar qué significaba la frase. Los heptápodos no escribían una frase semagrama a semagrama, el heptápodo tenía que saber cómo sería la frase entera antes de poder escribir el primer trazo , pero una vez hecho transmitiría, con más precisión lo que no podrían transmitir mil palabras. Para los heptápodos, escribir y hablar parece ser tan diferentes cultural o cognitivamente que usar lenguajes diferentes tiene más sentido que usar diferentes formas del mismo idioma. Por ello afloraba un problema, no se podría usar su escritura para ayudar a aprender su lenguaje oral. Es posible que sus logogramas quizá incluyesen alguna información fonética, pero encontrarla sería mucho más difícil que con una escritura alfabética y, además, hablar este idioma sería imposible, dada la gama limitada de la laringe humana. Por otra parte, para ellos el lenguaje no servía sólo para comunicarse: era también una forma de acción . En efecto, según la teoría de la acción oral, declaraciones como «Quedas arrestado», «Bautizo este barco» o «Lo prometo» son “performativas”: el orador sólo puede realizar la acción pronunciando las palabras. Para tales actos, saber lo que se iba a decir no cambiaba nada. Por ejemplo, todos los asistentes a una boda anticipan las palabras «Yo los declaro marido y mujer», pero hasta que el oficiante no las diga realmente, la ceremonia no se ha realizado. Con un lenguaje performativo hablar equivale a hacer. Por ello, para los heptápodos, todo el lenguaje era performativo. En lugar de usar el lenguaje para informar, usaban el lenguaje para realizar. Por supuesto, ellos ya sabían lo que se diría en una conversación cualquiera; pero para que su conocimiento se hiciera cierto, la conversación tendría que suceder. Una palabra semánticamente relacionada con «performativo» es «representación». Es por eso que unas palabras que son espontáneas y comunicativas en el contexto del discurso humano se convertían en un recitado ritual cuando se contemplaban a la luz de los heptápodos. Aparentemente todos los acontecimientos lingüísticos tenían dos interpretaciones posibles: como transmisión de información o como ejecución de un plan. Al análogo ocurría con los acontecimientos físicos, con sus interpretaciones causal o teleológica (su fin, “telos”). En efecto, los atributos físicos que eran intuitivos para los humanos, como la energía cinética o la aceleración, eran todas propiedades de un objeto en un momento determinado del tiempo. Y esto conducía a una interpretación cronológica, causal, de los acontecimientos: cada momento viene del anterior, las causas y los efectos crean una reacción en cadena que viene del pasado hacia el futuro. via GIPHY Por contra, los atributos físicos que eran intuitivos para los heptápodos, como «acción» o esas otras cosas definidas mediante integrales, tenían sentido sólo con el transcurso de un periodo de tiempo. Y esto conducía a una interpretación teleológica de los acontecimientos: al ver los acontecimientos a lo largo de un periodo de tiempo, se reconocía que había un requisito que tenía que ser satisfecho, un objetivo a minimizar o maximizar. Y uno debía conocer los estados inicial y final para conseguir ese objetivo; debía tener conocimiento de los efectos antes de que pudieran producirse las causas . Eso también estaba comenzando a entenderlo la doctora. El universo físico era un lenguaje con una gramática perfectamente ambigua. Cualquier hecho físico era una expresión que podía ser interpretada de dos formas completamente distintas, una causal y la otra teleológica, ambas válidas, ninguna descalificable por mucho contexto del que dispongamos. Es sabido que casi todas las leyes físicas pueden expresarse como principios variacionales . Sin embargo, cuando los humanos pensamos en las leyes físicas, prefieren trabajar con ellas bajo su formulación causal. via GIPHY Todo indicaba que cuando los antepasados de los humanos y los heptápodos adquirieron la chispa de la consciencia, percibieron el mismo mundo físico, pero interpretaron sus percepciones de forma diferente; las visiones del mundo que surgieron de allí fueron el producto final de esa divergencia. Los humanos habían desarrollado un modo de consciencia secuencial, mientras que los heptápodos habían desarrollado un modo de consciencia simultánea. El Principio de Tiempo Mínimo de Fermat Nosotros experimentábamos los acontecimientos en un orden, y percibíamos la relación entre ellos como causa y efecto. Los heptápodos experimentaban todos los acontecimientos a la vez, y percibían una intención que los subyacía a todos. Una intención minimizadora y/o maximizadora era más adecuado para una especie con un modo de consciencia simultánea. Algo análogo pasa con la explicación que podamos dar del fenómeno de la Refracción de la luz como muestra este diagrama:
tiempo fermat
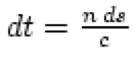
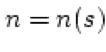
Ocurre cuando un rayo de luz cruza del aire al agua, tocando el agua en un ángulo dado. El rayo de luz viaja en línea recta hasta que toca el agua, al entrar al agua el rayo viajará a través de ella en un ángulo diferente… el agua tiene un índice de refracción diferente, así que la luz cambia de dirección. Lo interesante es el camino que toma la luz… El camino es la ruta más rápida posible entre los dos puntos, inicial y final. Hay caminos hipotéticos más cortos que el camino que en realidad toma la luz. Pero la luz viaja más lentamente en el agua de lo que lo hace por el aire, y en esos camino hay un mayor recorrido bajo el agua. Así que la luz tardaría más tiempo en viajar por esos caminos que el que tarda en viajar por el camino real que ella toma. En otras palabras, la ruta que el rayo de luz toma es siempre la más rápida posible. Ése es el Principio del Tiempo Mínimo de Fermat . Luego… Si explicamos el fenómeno diciendo que una diferencia en el índice de refracción provocó que la luz cambiase de dirección, se ve el mundo como lo vemos los humanos. Si lo explicamos diciendo que la luz minimizó el tiempo que necesitaba para viajar hasta su destino, veremos el mundo como lo ven los heptápodos. Dos interpretaciones muy distintas. Es curioso que el Principio de Fermat fuera el primer éxito de comunicación de tipo científica  con los heptápodos; a pesar de que es fácil de explicar, se necesita cálculo para describirlo matemáticamente, y no cálculo ordinario; se necesita Cálculo de Variaciones. Era lógico pensar que el primer éxito sería con algún teorema sencillo de geometría o álgebra, pero no fue así. Sin embargo, tenemos que aceptar que por el Principio de Fermat no suena como una ley física. En efecto, estamos acostumbrados a pensar en la refracción en términos de causa y efecto: alcanzar la superficie del agua es la causa, y el cambio de dirección es el efecto. Pero el Principio de Fermat . Suena como un mandamiento dirigido a un rayo de luz: « Minimizarás o maximizarás el tiempo que tardes en llegar a tu destino ». Es un viejo problema de filosofía de la física. La gente ha estado hablando sobre él desde que Fermat lo formuló en el siglo XVI; Planck escribió sobre él. La cuestión es que, aunque la formulación habitual de las leyes físicas es causal, un Principio Variacional como el de Fermat es intencionado, como dijimos casi teleológico. Digamos que el objetivo de un rayo de luz es tomar el camino más rápido. ¿Cómo lo consigue la luz? –Bueno, si puedo hablar haciendo una proyección antropomórfica, la luz tiene que examinar los caminos posibles y calcular cuánto tardará con cada uno. El rayo de luz tiene que saber exactamente dónde está su destino. Si el destino estuviera en otro lugar, el camino más rápido sería diferente. La idea de un «camino más rápido» no tiene sentido a menos que se especifique el destino . Y calcular cuánto se tarda por un camino dado también requiere información sobre lo que hay en ese camino, como por ejemplo, dónde está la superficie del agua. Échale una nueva mirada al diagrama anterior resulta que el rayo de luz tiene que saber todo eso de antemano, antes de empezar a moverse. Por así decirlo, la luz no puede empezar a viajar en cualquier dirección y hacer rectificaciones más tarde, porque el camino resultante de ese comportamiento no sería el más rápido posible. La luz tiene que hacer todos sus cálculos al principio de todo. El rayo de luz tiene que saber dónde acabará antes de poder elegir la dirección en la que empezará a moverse.  Es en ésta explicación donde se aferra la película . Ahora bien, el Principio de Tiempo Mínimo de Fermat es incompleto; en ciertas situaciones la luz sigue un camino que le lleva más tiempo que cualquiera de las demás posibilidades. Es más preciso decir que la luz siempre sigue un camino extremo, sea uno que minimiza el tiempo que tarda, sea uno que lo maximiza. Un mínimo y un máximo comparten ciertas propiedades matemáticas, así que ambas situaciones pueden ser descritas con una sola ecuación. Luego, para ser precisos, el Principio de Fermat no es un Principio de Mínimos , sino lo que se conoce como un **Principio ** « Variacional ». Y en todas las ramas de la física hay más Principios Variacionales de éstos, casi cualquier ley física puede ser redefinida como un Principio Variacional . La única diferencia entre estos Principios es qué atributo se minimiza o maximiza. En óptica, donde el Principio de Fermat se aplica, el tiempo es el atributo que debe ser extremo. En mecánica, es un atributo diferente. En electromagnetismo, otra cosa distinta. Pero todos estos *Principios * son similares matemáticamente. La formulación de la física heptápoda estaba efectivamente al revés respecto a la nuestra. Los atributos físicos que los humanos definían usando cálculo integral eran considerados fundamentales por los heptápodos. Como para definir atributos que los humanos consideraban fundamentales, como la velocidad, los heptápodos empleaban matemáticas que eran «totalmente bizarras». Más, sin embargo, ambos eran sistemas para describir el mismo Universo Físico. via GIPHY

Libre Albedrío

¿Qué clase de percepción hacía que un mínimo o un máximo fuera instantáneamente evidente para ellos? Por otra parte, sabemos que las leyes fundamentales de la física son simétricas en el tiempo, que no hay una diferencia física entre el pasado y el futuro. ¿Era realmente posible conocer el futuro? No sencillamente adivinarlo. ¿Era posible saber lo que iba a pasar, con absoluta certidumbre y con detalle?, es decir, tener un conocimiento del futuro real, no de un futuro posible, un futuro donde en el presente las circunstancias conspirarían para que realizase su destino a pesar de sus esfuerzos por tratar de elegir hacer lo contrario. ¿Y si la experiencia de conocer el futuro cambiase a una persona? ¿Y si evocase una sensación de urgencia, una sensación de obligación de actuar exactamente como sabía que debía hacerlo? , por otra parte, como el conocimiento del futuro era incompatible con el libre albedrío… Entonces, ¿Dónde quedaba el libre albedrío? Es que una vez que “recuerdas” el futuro como parte de tu “memoria” ya no existe el libre albedrío. Por ejemplo, la “Dra. Louise Banks no sabe quién era esa niña que veía, hasta que comprende que ha llegado a manejar ese lenguaje extraterrestre más avanzado a cambiar su propia percepción del tiempo, a conocer su futuro… Descubriendo así que es la hija que tendrá, ella no elije tener a su hija, pero sabe que nacerá del amor, que vivirá amándola y que la perderá por una enfermedad amándola. Y no puede evitarlo. No puede modificar su vida, sólo aceptarla, una vez que sabe que la va a tener, como tampoco elije amar a su marido una vez tiene la memoria de que lo ama y lo amará. En las secuencias de lo que crees es un flashback… pues se convierten en un flashforward. Así, ella pierde todo libre albedrío sobre aquello que tiene ya en su memoria y que sabe pasará.

El centro de “La Llegada” es el tiempo

Lo que distingue el modo de consciencia de los heptápodos no es sólo que sus acciones coinciden con los acontecimientos de la historia; es también que sus motivos coinciden con el propósito de la historia. Actúan para crear el futuro, para realizar la cronología, experimentando el pasado y el futuro al mismo tiempo… o mejor, fuera del tiempo.

tiempo
Ciertamente el paso del tiempo en la película tiene un problema según la física que conocemos. En efecto nosotros conscientes, o no, aceptamos que el tiempo se mueve en una dirección, que es en la que nos desenvolvemos habitualmente los «humanos», de forma lineal de principio a fin, en la que hay un antes y un después, por lo que  hay formas de establecer si un hecho puede ser causa de otro o no, al menos desde el punto de vista temporal. Por el contrario, la concepción del tiempo alienígena, es de forma circular, donde no hay principio, ni fin. Donde los recuerdos, las emociones, los objetos se repiten, van y vienen, hasta el punto que a la protagonista que se adentra en su lenguaje, no sabemos sus recuerdos donde situarlos, si en el pasado, futuro o en el presente. En efecto, la Dra. Banks empieza a entender el tiempo como un continuo en el que  pasado, presente y futuro ** ** dialogan entre sí, de tú a tú -es fabuloso que alguien pueda imaginar esta situación. Pero en la película el paso del tiempo no es más que un flujo de conciencia por una sucesión de hechos inamovibles . . La protagonista no viaja al futuro, ella percibe imágenes y recibe información que utiliza. Ella comprende que no cree, adivina o intuye el futuro sino que lo “recuerda”, es decir, LO SABE, que está en su memoria.

Consciencia Simultánea y Pensamiento No fonológico.

La libertad no es una ilusión; es perfectamente real en el contexto de la consciencia secuencial. Ahora bien, en el contexto de la consciencia simultánea, la libertad no es significativa, pero tampoco lo es la coerción; es simplemente un contexto diferente, ni más, ni menos, válido que el otro. Es como esa famosa ilusión óptica, el dibujo que puede ser de una joven elegante, con la cara escondida al espectador, o una vieja con gran nariz, con la barbilla metida en el pecho. No hay una interpretación «correcta»; ambas son igualmente válidas. Pero no pueden verse las dos al mismo tiempo.

consciencia simultanea
Y si la consciencia simultanea ya, de por sí, era tan diferente como lo era su física, de igual forma lo era su forma de pensar, para nosotros el pensar era, típicamente, hablar con una voz interior, nuestros pensamientos estaban codificados fonológicamente… como decía *Wittgenstein: “Los límites de tu mundo son los límites de tu lenguaje…tu lenguaje limita lo que puede ser pensado y expresado, en consecuencia, limita lo existente”. * La idea de pensar de forma lingüística pero no fonológica era intrigante. Codificar gráficamente, a través de diseños semagráficos, los pensamientos para con ellos razonar, era inconcebible para un humano. En lugar de ir hacia delante, la mente colgaba en equilibro sobre la simetría que subyacía a los semagramas, en los cuales las premisas y las conclusiones eran intercambiables. No había una dirección inherente en la forma en que se conectaban las proposiciones, no había «hilo del pensamiento» que siguiera un camino en particular; todos los componentes del acto de razonar eran igualmente potentes, todos tenían idéntica importancia.

Y hasta aquí hemos llegado…

Es por todo esto que definitivamente los alíen de “La Llegada” son verdaderos “alíen”, **seres que escapan por completo a nuestra comprensión. ** Por esto «La Llegada», es una película que va más allá del ser una película de ciencia-ficción sobre alíen o marcianos, nos presenta a una heroína que acepta su porvenir aprovechando cada momento a sabiendas de que durante su vida perderá sus más grandes amores, su hija y su esposo en el fluir de los tiempos que fueron, son y serán . Una película que emociona desde los primeros minutos hasta un final y donde nos hablan de los recuerdos del porvenir con total naturalidad, por ello ahora estoy recordando que serán muchos los que la verán en el futuro… Es que el premiado autor Ted Chiang combina hábilmente la emoción humana y el racionalismo científico, de una forma tan emocionante, tan original, tan rigurosamente imaginada, que te deja sin palabras, invitándonos a cuestionar nuestra comprensión del Universo y nuestro lugar en él. Sin duda esta historia refleja el proceso del descubrimiento científico: las ideas complejas emergen de la acumulación medida, metódica de la información hasta que la epifanía golpea. Es que si algo hemos aprendido en la última década es que hay miles de planetas de diferentes tamaños y condiciones de temperatura, gravedad o composición. Esta pequeña muestra sugiere que tendremos millones de planetas diferentes en nuestra galaxia, cientos de miles de millones en todo el Universo. Estas grandes y variadas características son motivo para pensar que tengamos un universo lleno de vida, aún sin pruebas definitivas. Definitivamente, el Universo puede albergar todo tipo de formas de vida diferentes, seguro, la mayoría mucho más extrañas de lo que podemos imaginar. ** ** ** ** Anexo: ** ** Principio de Fermat El  Principio de Fermat , en óptica, es un principio de tipo extremal, que establece: El trayecto seguido por la luz al propagarse de un punto a otro es tal que el tiempo empleado en recorrerlo es un mínimo. Este enunciado no es completo y no cubre todos los casos, por lo que existe una forma moderna del Principio de Fermat . Esta dice que: El trayecto seguido por la luz al propagarse de un punto a otro es tal que el tiempo empleado en recorrerlo es estacionario respecto a posibles variaciones de la trayectoria. El principio en su forma moderna fue declarado por Pierre de Fermat en una carta fechada el 1 de enero de 1662 enviada a Cureau de la Chambre, de ahí que lleve su nombre. Se encontró con las objeciones efectuadas en mayo de 1662 por Claude Clerselier, un experto en óptica y líder portavoz de los cartesianos en ese momento. Entre sus objeciones, Clerselier establecía: *El principio de Fermat no puede ser la causa, pues de lo contrario estaríamos atribuyendo conocimiento a la naturaleza: y aquí, por naturaleza, entendemos sólo que el orden y la legalidad en el mundo, tal como es, que actúa sin conocimiento previo, sin elección, sino por una determinación necesaria. * Claude Clerselier Históricamente, el Principio de Fermat ha servido como principio rector en la formulación de las leyes de la Física con el uso del cálculo variacional. El cálculo de variaciones es un problema matemático consistente en buscar máximos y mínimos (o más generalmente extremos relativos) de funcionales continuos definidos sobre algún espacio funcional. Constituyen una generalización del cálculo elemental de máximos y mínimos de funciones reales de una variable. Desde el punto de vista del cálculo de variaciones, hablar de principio de acción estacionaria es más exacto. Históricamente, el principio de mínima acción postulaba que, para sistemas de la mecánica clásica, la evolución temporal de todo sistema físico se daba de tal manera que una cantidad llamada «acción» tendía a ser la mínima posible. Matemáticamente se expresa este principio como sigue: el tiempo que tarda la luz en recorrer una distancia  en un medio dado es

Imagen 8
donde  es la velocidad de la luz en ese medio (suponemos que la velocidad es constante en todo el medio, sin importar la dirección de desplazamiento). Definiendo el índice de refracción como
Imagen 9
entonces
Imagen 10
Si ahora tomamos un medio en el que el índice de refracción depende de la posición
Imagen 11
entonces podemos estimar que una distancia diferencial  se recorre en un tiempo
Imagen 12
siendo el tiempo total en recorrer el camino entre un punto  y otro  la cantidad
Imagen 13
Con lo cual el Principio de Fermat radica en encontrar los valores extremos de la función:
Imagen 14
Según hemos visto, el índice de refracción (que se define como el cociente entre la velocidad de la luz en un medio y la velocidad de la luz en el vacío) no es más que una medida del camino óptico que sigue la luz de modo que su minimización nos da la trayectoria del haz luminoso. El principio de mínima acción, principio de acción estacionaria o Principio de Hamilton es un presupuesto básico de la mecánica clásica y la mecánica relativista para describir la evolución a lo largo del tiempo del estado de movimiento de una partícula como de un campo físico. También en mecánica cuántica Feynman y Kac intentaron formulaciones inspiradas en el principio.
Imagen 15
En la imagen aparecen una carga positiva fija (en rojo) y un electrón libre (en azul). De todas las trayectorias posibles, ¿cuál escogerá el electrón? El principio de acción mínima determina que la trayectoria 1 será la elegida. Además la formulación relativista del principio mostró que la condición de mínimo era demasiado restrictiva, y que debía ser substituida por la condición un poco más general de que la trayectoria debía ser un punto crítico o estacionario (es decir, un mínimo o un máximo, pero no un valor no extremal). Por otra parte, a partir de las leyes de Newton puede probarse el principio de mínima acción para partículas de la mecánica Newtoniana. Esta deducción puede hacerse a partir del principio de D’Alambert que es esencialmente equivalente a las leyes de Newton. Sin embargo, el principio de mínima acción es más general puesto que, a diferencia de las ecuaciones de Newton, es aplicable también a sistemas de referencia no inerciales. Por otro lado admitiendo el principio de mínima acción de una sola partícula y ciertos principios de simetría pueden deducirse las ecuaciones de Newton. En efecto, a partir de la segunda ley de Newton, o equivalentemente el principio de D’Alembert, puede deducirse que para una partícula que obedece ese principio se cumple también el principio de mínima acción. Así también La primera ley de Newton  puede deducirse a partir del principio de mínima acción de las propiedades de homogeneidad e isotropía del espacio euclideo tridimensional. De igual manera, la ley de Snell se puede derivar a partir del Principio de Fermat . Debemos recordar que La ley de Snell (también llamada ley de Snell-Descartes) es una fórmula utilizada para calcular el ángulo de refracción de la luz al atravesar la superficie de separación entre dos medios de propagación de la luz (o cualquier onda electromagnética) con índice de refracción distinto. La misma afirma que la multiplicación del índice de refracción por el seno del ángulo de incidencia respecto a la normal es constante para cualquier rayo de luz incidiendo sobre la superficie separatriz de dos medios.
Imagen 16
n1. Sen ( θ

  1. = n2. Sen ( θ

n= c/v La simetría de la ley de Snell implica que las trayectorias de los rayos de luz son reversibles. Hay una analogía clásica propuesta por el físico Richard Feynman para explicar el Principio de Fermat: “Imagina que nos encontramos en la costa, lejos de la orilla, en un punto A y en el mar, alejado de la orilla, una persona cae de una barca en un punto B. Nosotros vemos el accidente y podemos acudir corriendo y luego nadando. ¿Qué hacemos?.¿Vamos en línea recta?¡sí, sin duda!…..Sin embargo, si usáramos un poco más la inteligencia nos daríamos cuenta que es ventajoso correr una distancia un poco mayor por tierra para disminuir la distancia que debemos nadar, porque nos movemos más lentamente por el mar que por la tierra. Es preferible recorrer un mayor camino para tardar el menor tiempo posible ya que ésta es la magnitud que interesa para salvar a la persona de morir ahogada. Pues bien, esto es lo que hace la luz para ir de A hacia B cuando cambia de medio de propagación». **                           

Imagen 17
** Fermat asigna a la luz un comportamiento reflexivo -como el de los seres humanos- que le permite trazar un camino entre dos puntos siempre que lo va a emprender.